타보고리스&할부

지금 보고 계신 차량을 15명이 함께 보고 계십니다.

/20

벤츠 EQE EQE SUV X294 (23년~) EQE350 4MATIC

2025년 4월·전기·오토·10,950 km
전화기

오전7시 - 새벽2시 친절 전화 상담

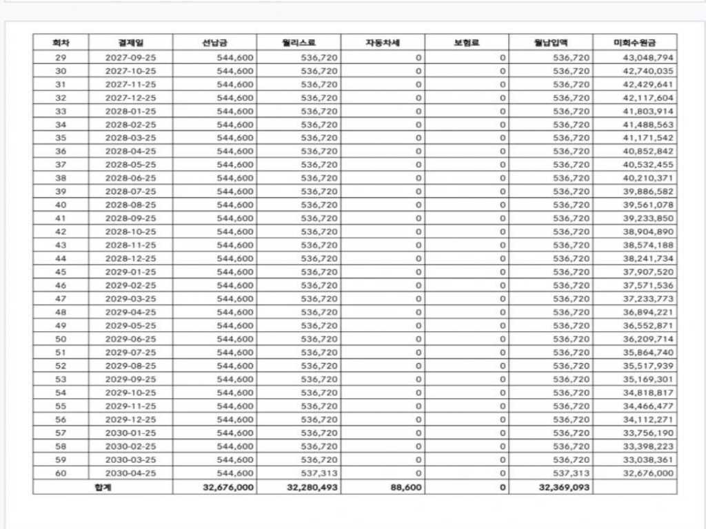
월리스료조회

675,000
 원

기본정보

차량번호 ----- 07두8756
색상 ----- 흰색
연식 ----- 2025년 4월
주행거리 ----- 10,950 km
연료 / 변속기 ----- 전기 / 오토
제시번호 ----- 제 2147483647 호
사고유무 ----- 무사고
압류/저당 -----
세금미납 ----- 없음
※본차량은 원금기준이며 차량의 결제방법은 할부,리스,현금으로 구매가능한차량입니다.
※개인신용평점,차량,잔존가치에 따라 월납입액변동이있을수있습니다.
※10만키로이상,5년이상,유사고차량은 리스진행이 불가할수있습니다.
※기간별로 24~60개월 , 선납적용 0~40%납입금임
구매상담 바로가기
전화상담 바로가기

옵션정보

옵션 더보기 +

※ 옵션 더보기+는 실제차량의 옵션과 다를 수 있습니다. 담당자와 꼭 확인하세요!

성능기록부 보기   

판매자정보

판매자명 박진영팀장 
휴대전화 0508-4260-0800 

전화상담
바로연결

문자상담
바로연결

잠깐!
지금 보고계신 차량은
100% 실매물 차량입니다

상세페이지 배너

선수금

  •   % 선수금은 고객님 선택사항입니다.

선납금 및 보증금

리스기간

  • 24개월
  • 36개월
  • 48개월
  • 60개월

월 예상납부금액

※본차량은 원금기준이며 이자는 포함되어 있지 않은 금액입니다.
※차량의 결제방법은 할부,리스,현금으로 구매가능한차량입니다.
※개인신용평점,차량,잔존가치에 따라 월납입액이 변동이 있을 수 있습니다.
※10만키로이상,5년이상,유사고 차량은 리스진행이 불가 할 수 있습니다.
※차량에 따라 잔존가치(%)가 다를 수 있습니다.
※개인신용점수에 따라 월 납입금액은 변동 될 수 있습니다.
본 상품은 각 개인마다 신용점수가 다름으로 최저가 기준입니다.
※해당금액은 (선납금 40~50% or 잔존가치 40~50%)60개월 계약 기준 금액입니다.
리스문의
전화문의
0508-4260-0800